Table of Contents
Bisection Technique
-
- What?
- The first technique, based on the Intermediate Value Theorem, is called the Bisection, or Binary-search, method.
-
- Why?
- Can be used to accelerate the convergence of a sequence that is linearly convergent,
regardless of its origin or application.
-
Method:

-
Algorithm:

- Drawbacks:
It is, relatively, slow to converge:
(that is, N may become quite large before \(| p − p_N|\) is sufficiently small)
and a good intermediate approximation might be inadvertently discarded - Stopping Criterions:
The best criterion is (2.2)
- Convergence:
It Always converges to a solution!
-
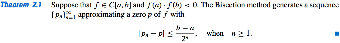
Rate of Convergence \ Error Bound:

-
The problem of Percision:
We use,

-
The Signum Function:
We use,

- MatLab Implementation:
